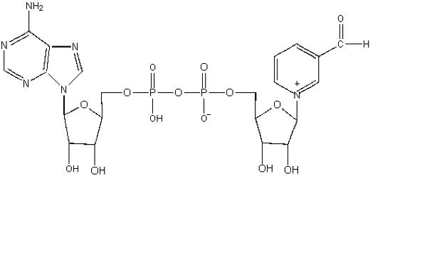
Ald-NAD
3-Pyridinealdehyde Adenine Dinucleotide


Item No.: Ald-NAD

C.A.S. No.: 86-07-7

Chemical Formula: C
21H26N6O14P2

Chemical Name: Ald-NAD; 3-Pyridinealdehyde Adenine Dinucleotide

Chemical Structure:
Formula Weight: 648.4 (anhydrous molecular weight)

Specifications:

  • Physical Properties: off-white powder

Storage: Product is hygroscopic. Store product container tightly sealed below 0°C.