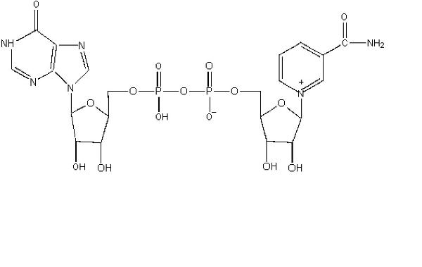
Deamino-NAD
Nicotinamide Hypoxanthine Dinucleotide


Item No.: De-NAD

C.A.S. No.: 1851-07-6

Chemical Formula: C
21H26N6O15P2

Chemical Name: Deaminodiphosphopyridine Nucleotide; Deamino-NAD; Deamino Nicotinamide
Adenine Dinucleotide; Deamino-DPN; Nicotinamide Hypoxanthine Dinucleotide

Chemical Structure:
Formula Weight: 664.4 (anhydrous molecular weight)

Specifications:

  • Physical Properties: off-white powder

Storage: Product is hygroscopic. Store product container tightly sealed below 0°C.