GGNA-FB
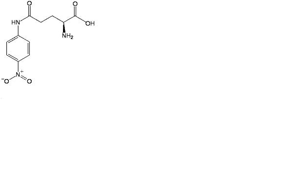
Gamma-L-Glutamyl-4-Nitroanilide, Free Base


Item No.: GGNA-FB

C.A.S. No.: 7300-59-6

Chemical Formula: C
11H13N3O5

Chemical Name: Gamma-L-Glutamyl-4-Nitroanilide, Free Base

Chemical Structure:
Formula Weight: 267.2 (anhydrous molecular weight)

Specifications:

  • Physical Properties: cream to light yellow powder

  • HPLC analysis at 315 nm: Gamma-L-Glutamyl-4-Nitroanilide 96%

Storage: Store product container tightly sealed ≤ 8°C. Protect from moisture and light.